Free Loan EMI Calculator Online: हमारा EMI कैलकुलेटर टूल आपको होम, कार और पर्सनल लोन के लिए आपकी मंथली इंस्टॉलमेंट (EMI) आसानी से कैलकुलेट करने में मदद करता है। तुरंत रिज़ल्ट के लिए बस लोन अमाउंट, इंटरेस्ट रेट और टाइम पीरियड एंटर करना होगा।
यह टूल आपके मंथली Monthly Payments, Total Interest Payable और Overall Loan Cost की डिटेल्ड जानकारी देता है, जिससे आपको सोच-समझकर फाइनेंशियल फैसले लेने में मदद मिलती है।
What is Free Loan EMI Calculator Online? (Loan EMI Calculator Kya Hai)
लोन EMI कैलकुलेटर एक ऑनलाइन टूल है जो यूज़र्स को लोन के लिए उनकी Equated Monthly Installment (EMI) कैलकुलेट करने में मदद करता है।
यह तय करता है कि लोन लेने वाले को लोन देने वाले को लोन देने वाले को लोन पूरी तरह चुकाने तक हर महीने कितनी रकम देनी होगी।
What is EMI?
EMI (Equated Monthly Installment) एक फिक्स्ड अमाउंट है जो लोन लेने वाला लोन चुकाने के लिए हर महीने लेंडर को देना होता है। इसमें ओरिजिनल लोन अमाउंट और इंटरेस्ट (कॉस्ट ऑफ़ बॉरोइंग) दोनों शामिल होते हैं।
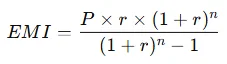
Loan EMI Calculation Formula:

कहाँ:
- P = लोन अमाउंट (प्रिंसिपल)
- r = मंथली इंटरेस्ट रेट (एनुअल रेट / 12 / 100)
- n = लोन टेन्योर (Number of months)
उदाहरण:
अगर आप 5 साल (60 महीने) के लिए 10% सालाना ब्याज दर पर ₹5,00,000 का लोन लेते हैं, तो आपकी EMI हर महीने ₹10,624 होगी।
How to Use a Loan EMI Calculator?
EMI कैलकुलेटर का इस्तेमाल करना बहुत ही आसान है। अपनी इक्वेटेड मंथली इंस्टॉलमेंट (EMI) कैलकुलेट करने के लिए नीचे दिए गए स्टेप्स को फ़ॉलो करें:
स्टेप 1: लोन डिटेल्स डालें
लोन अमाउंट (P): वह टोटल अमाउंट डालें जो आप उधार लेना चाहते हैं।
इंटरेस्ट रेट (R): लेंडर जो सालाना इंटरेस्ट रेट देता है, वह डालें।
लोन टेन्योर (N): लोन का समय महीनों या सालों में डालें।
स्टेप 2: “Calculate” पर क्लिक करें
एक बार जब आप सारी जानकारी डाल दें, तो “Calculate” बटन पर क्लिक करें।
स्टेप 3: रिजल्ट देखें
EMI कैलकुलेटर तुरंत दिखाएगा:
मंथली EMI: वह फिक्स्ड अमाउंट जो आपको हर महीने देना होगा।
टोटल इंटरेस्ट पेयेबल: वह टोटल इंटरेस्ट जो आपको लोन टेन्योर के दौरान देना होगा।
टोटल लोन कॉस्ट: वह टोटल अमाउंट (प्रिंसिपल + इंटरेस्ट) जो आप देंगे।
Step 4: Adjust & Compare
आप अलग-अलग EMI ऑप्शन की तुलना करने और सबसे अच्छा रीपेमेंट प्लान चुनने के लिए लोन अमाउंट, इंटरेस्ट रेट या समय बदल सकते हैं।
Read Also: Free Age Calculator Tool
Frequently Asked Questions
1. What is a Loan EMI Calculator and how does it work?
Ans: लोन EMI कैलकुलेटर एक ऑनलाइन टूल है जो आपको लोन अमाउंट, इंटरेस्ट रेट और लोन टेन्योर के आधार पर आपकी मंथली EMI कैलकुलेट करने में मदद करता है। यह आपकी EMI, टोटल इंटरेस्ट और टोटल रीपेमेंट अमाउंट को तुरंत दिखाने के लिए एक स्टैंडर्ड फ़ॉर्मूला का इस्तेमाल करता है।
2. Is using an online Loan EMI Calculator free?
Ans: हाँ, ऑनलाइन में मौजूद ज़्यादातर लोन EMI कैलकुलेटर इस्तेमाल करने के लिए पूरी तरह से फ़्री हैं। आप बिना किसी खर्च या रजिस्ट्रेशन के होम लोन, पर्सनल लोन, कार लोन और दूसरे लोन के लिए EMI आसानी से कैलकुलेट कर सकते हैं।
3. Can I calculate EMI for different types of loans using one calculator?
Ans: हाँ, एक अच्छे लोन EMI कैलकुलेटर का इस्तेमाल होम लोन, पर्सनल लोन, कार लोन, एजुकेशन लोन और बिज़नेस लोन जैसे अलग-अलग लोन के लिए किया जा सकता है, सिर्फ लोन अमाउंट, इंटरेस्ट रेट और टाइम पीरियड बदलना होगा।
4. How accurate is a Loan EMI Calculator?
Ans: लोन EMI कैलकुलेटर बहुत सटीक या accurate होते हैं क्योंकि वे स्टैंडर्ड बैंकिंग फ़ॉर्मूला का इस्तेमाल करते हैं। हालांकि, फ़ाइनल EMI बैंक चार्ज, प्रोसेसिंग फ़ीस या ब्याज़ दरों में बदलाव के आधार पर थोड़ी अलग हो सकती है।
5. Does a Loan EMI Calculator show total interest payable?
Ans: हां, मंथली EMI के साथ, ज़्यादातर ऑनलाइन लोन EMI कैलकुलेटर कुल ब्याज और पूरे लोन टाइम में आपको चुकाने वाली कुल रकम भी शो करता है।